作者查詢 / bjiyxo

總覽項目: 發文 | 留言 | 暱稱
作者 bjiyxo 在 PTT [ Math ] 看板的留言(推文), 共442則
限定看板:Math
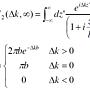
[分析] 複變積分
[ Math ]10 留言, 推噓總分: +3
作者: bjiyxo - 發表於 2016/05/16 17:28(9年前)
4Fbjiyxo: b是大於0沒錯,那請問k=0怎麼做?05/16 22:25
[其他] 彗星般的天才數學家—拉馬努金, 註記
[ Math ]10 留言, 推噓總分: +8
作者: Giawgwan - 發表於 2016/04/26 22:52(9年前)
8Fbjiyxo: Rademacher拼錯了,e拼成a04/27 09:56
[其他] 彗星般的天才數學家—拉馬努金
[ Math ]16 留言, 推噓總分: +15
作者: Giawgwan - 發表於 2016/04/26 21:29(9年前)
11Fbjiyxo: 推04/27 09:52
進位制的探討
[ Math ]197 留言, 推噓總分: +4
作者: yee381654729 - 發表於 2016/02/28 19:11(10年前)
19Fbjiyxo: 你問隨便一個親戚,星期日2/28,請問下星期五是幾號02/28 22:39
20Fbjiyxo: 信不信大部分的人都是數手指頭給你看XD02/28 22:39
23Fbjiyxo: 不是十比較尊爵不凡,實際上痛恨數學的人就是需要02/28 22:40
24Fbjiyxo: 十進位,誰不承認十沒有精艷的數學性質02/28 22:41
25Fbjiyxo: 但對於一些普通人就是需要指頭算啊02/28 22:41
37Fbjiyxo: 推樓上s大02/28 23:36
[幾何] 360度的探討
[ Math ]537 留言, 推噓總分: +27
作者: yee381654729 - 發表於 2016/02/27 12:57(10年前)
115Fbjiyxo: 數學上已經有pi了,為什麼還要分角度,我們又不是02/28 10:07
116Fbjiyxo: 古人對小數點歧視,所以數學用pi,測量用360很合理02/28 10:08
220Fbjiyxo: 要測量天空會從接近365天360度定義,至於數學上02/28 22:35
221Fbjiyxo: 並不需要一定要改變現在常用的360度,說穿了22.5度02/28 22:36
222Fbjiyxo: 就是沒有什麼大應用02/28 22:36
223Fbjiyxo: 不需要改變現在人類的習慣02/28 22:37
224Fbjiyxo: 有pi就很好用了02/28 22:37
[代數] 關於牛頓插值跟差分以及拉格朗日
[ Math ]17 留言, 推噓總分: +6
作者: Flameclawii - 發表於 2015/10/04 20:55(10年前)
17Fbjiyxo: 老師自己沒接觸過腦羞罵你囉10/07 09:13
Re: [問卦] 線性代數聖經是哪本?
[ Math ]9 留言, 推噓總分: +4
作者: TassTW - 發表於 2015/05/06 13:25(10年前)
1Fbjiyxo: 推觀點05/06 14:56
[閒聊] Cheryl's Birthday Problem
[ Math ]3 留言, 推噓總分: +3
作者: LPH66 - 發表於 2015/04/17 17:12(10年前)
3Fbjiyxo: 是經典問題但不至於太難吧XD有些puzzle版問題真神難04/17 23:50
[微積] 一個積分的問題...
[ Math ]18 留言, 推噓總分: +1
作者: guiltpunish - 發表於 2015/04/13 21:57(10年前)
2Fbjiyxo: 當然要分兩塊04/13 22:07
[分析] 兩種資料 求(近似)公式
[ Math ]11 留言, 推噓總分: 0
作者: TPTech - 發表於 2015/03/14 23:14(11年前)
9Fbjiyxo: 應該要推統計軟體而非數學工具,統計軟體都有基本03/15 15:25
10Fbjiyxo: 函數的fitting,他會幫你試過一輪之後告訴你哪個好03/15 15:26