[中學] 高一指數
不好意思又要麻煩各位了
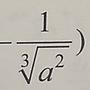
https://i.imgur.com/QhTk6lA.jpg


第4題D,第15題D
第15題有解出來,可是跟答案不同
不知道為什麼有4個
再麻煩各位了
謝謝
--
※ 發信站: 批踢踢實業坊(ptt.cc), 來自: 36.234.13.149
※ 文章網址: https://www.ptt.cc/bbs/Math/M.1544326621.A.3E4.html
推
12/09 13:13,
7年前
, 1F
12/09 13:13, 1F

推
12/09 14:48,
7年前
, 2F
12/09 14:48, 2F
推
12/09 15:54,
7年前
, 3F
12/09 15:54, 3F

→
12/09 15:54,
7年前
, 4F
12/09 15:54, 4F
→
12/09 16:31,
7年前
, 5F
12/09 16:31, 5F
→
12/09 16:31,
7年前
, 6F
12/09 16:31, 6F
→
12/09 16:33,
7年前
, 7F
12/09 16:33, 7F
→
12/09 16:33,
7年前
, 8F
12/09 16:33, 8F
推
12/10 01:43,
7年前
, 9F
12/10 01:43, 9F
推
12/11 14:50,
7年前
, 10F
12/11 14:50, 10F

推
12/11 14:53,
7年前
, 11F
12/11 14:53, 11F
→
12/11 14:53,
7年前
, 12F
12/11 14:53, 12F
→
12/11 15:25,
7年前
, 13F
12/11 15:25, 13F
→
12/11 20:00,
7年前
, 14F
12/11 20:00, 14F
→
12/11 20:01,
7年前
, 15F
12/11 20:01, 15F
推
12/11 21:39,
7年前
, 16F
12/11 21:39, 16F
推
12/11 21:42,
7年前
, 17F
12/11 21:42, 17F
→
12/11 21:42,
7年前
, 18F
12/11 21:42, 18F
→
12/11 22:18,
7年前
, 19F
12/11 22:18, 19F
→
12/11 22:35,
7年前
, 20F
12/11 22:35, 20F
→
12/11 22:35,
7年前
, 21F
12/11 22:35, 21F
推
12/13 19:55,
7年前
, 22F
12/13 19:55, 22F
→
12/14 22:59,
7年前
, 23F
12/14 22:59, 23F
討論串 (同標題文章)