作者查詢 / kelvin0004

總覽項目: 發文 | 留言 | 暱稱
作者 kelvin0004 在 PTT [ Math ] 看板的留言(推文), 共35則
限定看板:Math
首頁
上一頁
1
2
下一頁
尾頁
[其他] 一題死刑犯問題
[ Math ]5 留言, 推噓總分: +3
作者: MisatoMitumi - 發表於 2021/01/10 00:02(5年前)
4Fkelvin0004: 三個人都抽同兩個箱子 不是一定中兩個名字嗎01/11 03:04
[中學] 指對數問題
[ Math ]18 留言, 推噓總分: +5
作者: bpall - 發表於 2020/11/17 01:05(5年前)
1Fkelvin0004: 1.做出 log2(x) -2^x -(1/2)^x -x 四條線 前兩者交11/17 03:00
2Fkelvin0004: log2(x)與-(1/2)^x對稱於y=-x 三線共點為b與c11/17 03:03
3Fkelvin0004: 2.log(A)<0 a<0 0<b<1 (logA)^2+b/3=2 1<log(A)^2<211/17 03:06
4Fkelvin0004: -2<log(A)<-1 a=-2 (b-2)^2+b/3=2 b=2/3或3(不合)11/17 03:08
5Fkelvin0004: log(A)=-2+2/3=-4/3 A=10^(-4/3)11/17 03:09
6Fkelvin0004: 3.必滿足x>0 x不等於1 (-x+3)>0 三條件11/17 03:10
7Fkelvin0004: 討論0<x<1 則(-x+3)>=1 x<=2 範圍為0<x<111/17 03:11
8Fkelvin0004: 討論x>1 則(-x+3)<=1 x>=2 範圍為x>=211/17 03:13
9Fkelvin0004: 綜合三條件與兩範圍 0<x<1 或 2<=x<311/17 03:14
10Fkelvin0004: 最上面1.有誤打 y=log2(x)與y=-(2)^x交於a11/17 03:18
11Fkelvin0004: 與y=-x交於b 與y=-(1/2)^x交於c11/17 03:23
12Fkelvin0004: 而y=log2(x)與y=-(1/2)^x對稱於y=-x 故bc共點 a較小11/17 03:24
16Fkelvin0004: x=1/2時 log2(x)=1 -x=-1/2 而這時 -2^x=-根號2 像11/18 09:10
17Fkelvin0004: 這樣作圖時確認會通過的特定的點就容易比較11/18 09:10
18Fkelvin0004: 第二題 https://i.imgur.com/Kyum2x7.jpg11/18 09:21
[中學] 求教一題對數
[ Math ]7 留言, 推噓總分: +2
作者: DrMeredith - 發表於 2020/08/15 18:08(5年前)
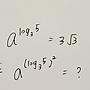
7Fkelvin0004: [3^(3/2)]^log_3(5) =[3^log_3(5)]^(3/2) =5^(3/2)08/16 05:50
[中學] 夾擠定理的上下界
[ Math ]2 留言, 推噓總分: +1
作者: attack2000 - 發表於 2019/01/30 21:10(7年前)
2Fkelvin0004: 這樣改是正確的,才有夾01/31 07:19
[中學] 求教版上數學神人
[ Math ]11 留言, 推噓總分: +4
作者: miwifi - 發表於 2018/02/12 23:00(8年前)
7Fkelvin0004: A5應是C9取2*19=684,把1到19寫成一個圓應該不難想02/13 03:56
8Fkelvin0004: 原來已經一篇回文了02/13 03:56
11Fkelvin0004: 貼圖就不用了XD02/14 02:45
[其他] PTT彩券從$300到中富大約要幾期?
[ Math ]13 留言, 推噓總分: +2
作者: sargent - 發表於 2017/06/29 10:08(8年前)
5Fkelvin0004: 首先 ptt彩券價格不是每張1元 再來 如果每次花當下06/30 10:50
6Fkelvin0004: 的1/3 三次中一次是指中獎機率1/3還是每三次必1次06/30 10:50
7Fkelvin0004: 中 後者越先中本金越多錢越多 最後 中獎比率0.12才06/30 10:50
8Fkelvin0004: 可能獲獎 小數賠率沒過1代表中獎連本金都拿不回來06/30 10:50
9Fkelvin0004: 必賠的 順便說說一樓的300不合理 本金越來越少 每06/30 10:50
10Fkelvin0004: 次花1/3 是不會三次花完的06/30 10:50
11Fkelvin0004: 如果是每三次必中一次 那每一輪三次金額會變1.407406/30 11:08
12Fkelvin0004: 倍 300*(1.407)^n=10000000 nﴳ1 下注約93次即可06/30 11:08
13Fkelvin0004: 如果是機率1/3就不一定 可能多可能少06/30 11:09
[中學] 國中競賽題
[ Math ]8 留言, 推噓總分: +3
作者: newperson - 發表於 2016/09/09 15:16(9年前)
8Fkelvin0004: 推四樓09/10 00:26
Fw: [其他] 合併執行怎麼算的?
[ Math ]2 留言, 推噓總分: +1
作者: bbmmm - 發表於 2016/09/04 20:28(9年前)
7Fkelvin0004: 最重刑<合併執行<30年09/04 20:33
[中學] 指&對數
[ Math ]5 留言, 推噓總分: +2
作者: binbinthink - 發表於 2016/05/13 17:34(9年前)
3Fkelvin0004: 這哪本書這麼慘XD05/13 18:27
[機統] 比賽先勝問題
[ Math ]2 留言, 推噓總分: +2
作者: sr291 - 發表於 2016/04/10 20:33(9年前)
2Fkelvin0004: 1回文 用組合方式計算給你參考04/11 03:05
首頁
上一頁
1
2
下一頁
尾頁