PTT
網頁版
登入/註冊
新聞
熱門文章
熱門看板
看板列表
作者查詢
最新文章
我的收藏
最近瀏覽
看板名稱查詢
批踢踢 PTT 搜尋引擎
看板
[
Math
]
討論串
[微積] 一題積分
共 170 篇文章
排序:
最新先
|
最舊先
|
留言數
|
推文總分
內容預覽:
開啟
|
關閉
|
只限未讀
首頁
上一頁
1
2
3
4
5
6
7
8
9
下一頁
尾頁
#155
[微積] 一題積分
推噓
2
(2推
0噓 4→
)
留言
6則,0人
參與
, 7年前
最新
作者
s512874690
(爪爪)
時間
7年前
發表
(2018/04/10 18:59)
, 7年前
編輯
資訊
0篇文章回應此文
0
內文有1個圖片
image
1
內文有0個連結
link
0
內容預覽:
https://i.imgur.com/cFwbgka.jpg.
請問為何原式的積分符號可以直接拿掉?. --.
※
發信站:
批踢踢實業坊(ptt.cc),
來自:
101.14.49.57
.
※
文章網址:
https://www.ptt.cc/bbs/Math/M.1523357963.A.9
#154
[微積] 一題積分
推噓
0
(0推
0噓 4→
)
留言
4則,0人
參與
, 7年前
最新
作者
s512874690
(爪爪)
時間
7年前
發表
(2018/03/19 17:45)
,
編輯
資訊
0篇文章回應此文
0
內文有2個圖片
image
2
內文有0個連結
link
0
內容預覽:
https://i.imgur.com/yieGkmz.jpg.
https://i.imgur.com/ZqLh8WT.jpg.
請問第五題題目是說X^2+Y^2+Z^2=1. 為什麼解答只有考慮X跟Y. --.
※
發信站:
批踢踢實業坊(ptt.cc),
來自:
117.19.115.102
.
#153
[微積] 一題積分
推噓
6
(6推
0噓 2→
)
留言
8則,0人
參與
, 7年前
最新
作者
c8c96387
(欸欸欸)
時間
7年前
發表
(2018/02/10 18:11)
,
編輯
資訊
0篇文章回應此文
0
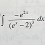
內文有1個圖片
image
1
內文有0個連結
link
0
內容預覽:
這題我先用了變數代換再用分部積分但答案出來是錯的. 想請問一下該怎麼做 感恩.
https://i.imgur.com/lu9F8We.jpg.
-----. Sent from JPTT on my iPhone. --.
※
發信站:
批踢踢實業坊(ptt.cc),
來自:
101.13.114
#152
Re: [微積] 一題積分
推噓
0
(0推
0噓 0→
)
留言
0則,0人
參與
,
最新
作者
cheesesteak
(牛排‧起司)
時間
7年前
發表
(2018/02/04 09:02)
, 7年前
編輯
資訊
0篇文章回應此文
0
內文有2個圖片
image
2
內文有0個連結
link
0
內容預覽:
To solve (2/a)∫x^1.5 * √(2a-x) dx for x in [0,2a]. Let x= 2a*(sint)^2, dx=4a*sint*cost dt (x=0, t=0; x=2a, t=pi/2). (2/a)∫(2a)^1.5*(sint)^3*√(2a)*cost
(還有374個字)
#151
[微積] 一題積分
推噓
0
(0推
0噓 0→
)
留言
0則,0人
參與
,
最新
作者
s512874690
(爪爪)
時間
7年前
發表
(2018/02/02 15:48)
,
編輯
資訊
0篇文章回應此文
0
內文有2個圖片
image
2
內文有0個連結
link
0
內容預覽:
https://i.imgur.com/IIxNajU.jpg.
https://i.imgur.com/daHpWpX.jpg.
想問第五題有沒有比較簡單的算法. 雖然看得懂可是我自己在算的時候我應該想不到要這樣拆,而且解答倒數第二行後面那項積分有點麻煩. --.
※
發信站:
批踢踢實業坊(pt
首頁
上一頁
1
2
3
4
5
6
7
8
9
下一頁
尾頁