作者查詢 / reye

總覽項目: 發文 | 留言 | 暱稱
作者 reye 在 PTT [ Math ] 看板的留言(推文), 共162則
限定看板:Math
Re: [幾何] 國中證明
[ Math ]11 留言, 推噓總分: +5
作者: LPH66 - 發表於 2021/01/12 05:09(5年前)
4Freye: 樓上這做法乾淨俐落,漂亮01/12 05:51
[中學] 三角1題
[ Math ]7 留言, 推噓總分: +3
作者: CBH - 發表於 2021/01/05 19:45(5年前)
1Freye: 把ma用b,c,cosA表示出來,其他以此類推01/05 19:55
2Freye: 延長中線一倍去做平行四邊形01/05 19:56
7Freye: 9/8沒錯01/07 01:19
[其他] 2021 新年數學題目
[ Math ]53 留言, 推噓總分: +14
作者: TimcApple - 發表於 2021/01/01 00:15(5年前)
6Freye: 樓上,我的答案和你一樣01/02 17:20
[幾何] 直角三角形與內切圓
[ Math ]15 留言, 推噓總分: +6
作者: lk86jeff - 發表於 2020/12/20 19:17(5年前)
10Freye: TXT解法超漂亮,很細心12/21 08:22
11Freye: @tyz12/21 08:22
12Freye: 用到三角公式,圓外一點到圓兩切線等長12/21 08:28
14Freye: 三角形O1O2A中用餘弦定理(cosA已知)12/21 20:00
15Freye: cos(A/2)12/21 20:00
Re: [幾何] 直角三角形與內切圓
[ Math ]4 留言, 推噓總分: +2
作者: Honor1984 - 發表於 2020/12/20 23:03(5年前)
3Freye: t是直角頂到斜邊的長12/21 08:30
4Freye: tyz大解法裡的AD12/21 08:31
[中學] 再來一題圓求教
[ Math ]4 留言, 推噓總分: +2
作者: hhhutwtw - 發表於 2020/11/26 16:32(5年前)
1Freye: B11/26 16:57
2Freye: 用兩個相似的直角三角形即可11/26 16:58
[其他] 國小程度基礎數學教材
[ Math ]8 留言, 推噓總分: +4
作者: enix - 發表於 2020/11/18 17:05(5年前)
8Freye: google”九章出版社”11/19 15:32
[中學] 三角求極值
[ Math ]34 留言, 推噓總分: +4
作者: hero010188 - 發表於 2020/09/15 20:29(5年前)
11Freye: 用微分呢?09/15 23:11
12Freye: 這個函數是連續可微嗎?在給定範圍內09/15 23:12
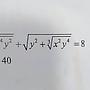
[代數] 請教一題解聯立方程組
[ Math ]3 留言, 推噓總分: 0
作者: rfvbgtsport - 發表於 2020/09/14 17:14(5年前)
1Freye: 先將上式兩邊平方09/14 18:19
2Freye: https://i.imgur.com/MC1ptmv.jpg09/14 18:19
[其他] 如果國高中生問學數學要做甚麼用
[ Math ]69 留言, 推噓總分: +10
作者: pop10353 - 發表於 2020/09/13 11:44(5年前)
22Freye: 打麻將橋牌很實用啊!09/13 12:20
23Freye: 三類裡頭生物統計也是會用數學09/13 12:21
24Freye: 像土木技師,引水人,精算師09/13 12:23
25Freye: 這些都是需要數學,至少在取得資格時09/13 12:23
26Freye: 人類文明能走到現在水準,數學是關鍵09/13 12:24
29Freye: 就算是出版社要印一本書,也要估算合理初刷量09/13 13:33
30Freye: 這就用到統計,成本,行銷09/13 13:34
33Freye: 推薦兩本書:09/13 14:33
34Freye: 「從天文地理學數學」09/13 14:33
35Freye: 「從生活學數學」09/13 14:33
44Freye: 那就讓懂數學的少數人懂就好,不必強求XD09/13 14:53
45Freye: 大家都這麼理性,很多行業會倒的XDD09/13 14:53