作者查詢 / ksherry

總覽項目: 發文 | 留言 | 暱稱
作者 ksherry 在 PTT [ Statistics ] 看板的留言(推文), 共59則
限定看板:Statistics
[問題] 比較兩隨機變數差異顯著否
[ Statistics ]2 留言, 推噓總分: +1
作者: saltlake - 發表於 2021/10/10 07:54(4年前)
1Fksherry: 用bootstrap吧10/10 12:21
[問題] 線性迴歸預測模型的變數選擇
[ Statistics ]9 留言, 推噓總分: +4
作者: honichi - 發表於 2021/09/24 09:55(4年前)
8Fksherry: 做預測的話, 要考慮樣本外預測而不是樣本內預測09/24 20:55
[問題] 為什麼很多學者反對p-value
[ Statistics ]25 留言, 推噓總分: +6
作者: ll6a - 發表於 2021/07/28 15:47(4年前)
2Fksherry: https://pansci.asia/archives/11092307/28 17:50
[問題] 請問有沒有關於統計學的課外書?
[ Statistics ]8 留言, 推噓總分: +5
作者: Cyborg - 發表於 2021/05/02 02:17(4年前)
2Fksherry: 常識統計學05/02 11:46
[問題] 3階樣本動差的極限分配
[ Statistics ]1 留言, 推噓總分: +1
作者: kaimao135559 - 發表於 2020/12/23 11:12(5年前)
1Fksherry: Jargue-Berra 檢定統計量的推導有12/23 13:02
[交易] galton board團購?
[ Statistics ]6 留言, 推噓總分: +3
作者: sisay - 發表於 2020/11/12 22:28(5年前)
2Fksherry: 買過,但是蠻容易壞的11/12 23:11
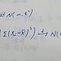
[問題] x/y的變異數推導
[ Statistics ]4 留言, 推噓總分: +2
作者: eco100 - 發表於 2020/09/11 17:54(5年前)
1Fksherry: 模擬很多次的\bar{X}/\bar{Y}, 計算其樣本變異數09/11 18:51
2Fksherry: 這是數值解, 推導的話, 1/\bar{Y} 的變異數可以利用 CMT09/11 18:52
3Fksherry: https://i.imgur.com/6EPWGPC.png09/11 19:23
[問題] 有關機率的問題(有P幣)
[ Statistics ]23 留言, 推噓總分: +10
作者: lf2lf2kk - 發表於 2020/09/03 10:30(5年前)
13Fksherry: 可以利用雙重期望值定理09/03 20:20
[問題] Poisson 迴歸與分佈
[ Statistics ]8 留言, 推噓總分: +3
作者: marki - 發表於 2020/06/08 17:43(5年前)
1Fksherry: 看你的目的是要作預測還是找有影響的解釋變數06/08 20:28
3Fksherry: 如果單純找解釋變數, 就一般線性迴歸模型去找就好了吧06/09 10:20
[問題] 時間序列
[ Statistics ]6 留言, 推噓總分: +4
作者: kaimao135559 - 發表於 2020/06/04 02:02(5年前)
1Fksherry: https://i.imgur.com/OBO5K2m.png06/04 16:04
2Fksherry: https://i.imgur.com/yvxpZAk.png06/04 16:05
5Fksherry: 看到手癢而已啦06/07 11:37