Re: [問題] Levi-Civita symbol

看板Physics作者 (做一個有質感的好人)時間10年前 (2015/09/29 01:07), 10年前編輯推噓4(400)
留言4則, 4人參與, 最新討論串2/3 (看更多)
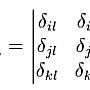
後來我自己想清楚,因為ε_ijk是基本矩陣 所以由線性代數可知 det(AB)=det(A) det(B) 必定成立 │δi1 δi2 δi3│ ε_ijk = │δj1 δj2 δj3│ = det(A) │δk1 δk2 δk3│ │δl1 δm1 δk1 │ ε_lmk = │δl2 δm2 δk2 │= det(B) │δl3 δm3 δk3 │ 所以 [δi1 δi2 δi3] [δl1 δm1 δk1 ] [δil δim δik ] det( [δj1 δj2 δj3] [δl2 δm2 δk2 ] ) = det( [δjl δjm δjk ]) [δk1 δk2 δk3] [δl3 δm3 δk3 ] [δkl δkm δkk ] = ε_ijk ε_lmk -- ※ 發信站: 批踢踢實業坊(ptt.cc), 來自: 36.224.41.82 ※ 文章網址: https://www.ptt.cc/bbs/Physics/M.1443460064.A.8AB.html ※ 編輯: Lindemann (36.224.41.82), 09/29/2015 01:14:01

09/29 02:26, , 1F
推!
09/29 02:26, 1F

09/29 10:49, , 2F
推推!!!
09/29 10:49, 2F

09/29 17:08, , 3F
推!!!
09/29 17:08, 3F

09/30 19:58, , 4F
對任意階數的都成立嗎?
09/30 19:58, 4F
YES!!!任意階數甚至上下標都可以這樣做 您可以當作習題玩看看 我就是看任意階的形式,有一天騎車突然頓悟了,猜出這個形式(差點摔車) https://en.wikipedia.org/wiki/Levi-Civita_symbol ※ 編輯: Lindemann (118.166.83.51), 09/30/2015 22:18:37
文章代碼(AID): #1M2NFWYh (Physics)
文章代碼(AID): #1M2NFWYh (Physics)