PTT
網頁版
登入/註冊
新聞
熱門文章
熱門看板
看板列表
作者查詢
最新文章
我的收藏
最近瀏覽
看板名稱查詢
批踢踢 PTT 搜尋引擎
看板
[
Math
]
討論串
[中學] 因式分解
共 78 篇文章
排序:
最新先
|
最舊先
|
留言數
|
推文總分
內容預覽:
開啟
|
關閉
|
只限未讀
首頁
上一頁
1
2
3
4
5
6
7
8
9
下一頁
尾頁
#63
[中學] 因式分解
推噓
0
(0推
0噓 4→
)
留言
4則,0人
參與
, 7年前
最新
作者
navarose
(0w0)
時間
7年前
發表
(2018/03/17 21:56)
,
編輯
資訊
0篇文章回應此文
0
內文有1個圖片
image
1
內文有0個連結
link
0
內容預覽:
http://i.imgur.com/LuWDMEm.jpg.
-----. Sent from JPTT on my Sony F5321.. --.
※
發信站:
批踢踢實業坊(ptt.cc),
來自:
223.141.46.194
.
※
文章網址:
https://www.ptt.cc/bbs
#62
[中學] 因式分解
推噓
0
(0推
0噓 1→
)
留言
1則,0人
參與
, 7年前
最新
作者
navarose
(0w0)
時間
7年前
發表
(2018/03/17 21:55)
,
編輯
資訊
0篇文章回應此文
0
內文有1個圖片
image
1
內文有0個連結
link
0
內容預覽:
http://i.imgur.com/EP9YOLl.jpg.
-----. Sent from JPTT on my Sony F5321.. --.
※
發信站:
批踢踢實業坊(ptt.cc),
來自:
223.141.46.194
.
※
文章網址:
https://www.ptt.cc/bbs
#61
Re: [中學] 因式分解
推噓
0
(0推
0噓 1→
)
留言
1則,0人
參與
, 8年前
最新
作者
wayne2011
(今年十三號星期五)
時間
8年前
發表
(2017/11/10 19:42)
,
編輯
資訊
0篇文章回應此文
0
內文有1個圖片
image
1
內文有0個連結
link
0
內容預覽:
既然都講了. 其實就參考. 陳一理所編著的"平向". 當中的例題 (可設a,b,c分別為三角形ABC中BC,CA,AB三邊長). 原式. =4{c^2a^2-[(1/2)(c^2+a^2-b^2)]^2}=(4delta)^2=16delta^2...海龍formula. --.
※
發信站:
批踢
#60
Re: [中學] 因式分解
推噓
0
(0推
0噓 2→
)
留言
2則,0人
參與
, 8年前
最新
作者
tyz
(秋星夜雨)
時間
8年前
發表
(2017/11/10 17:37)
,
編輯
資訊
0篇文章回應此文
0
內文有1個圖片
image
1
內文有0個連結
link
0
內容預覽:
4a^2c^2-(c^2+a^2-b^2)^2. =(2ac+c^2+a^2-b^2)(2ac-c^2-a^2+b^2). =((a+c)^2-b^2)(b^2-(a-c)^2). =(a+b+c)(A-b+c)(a+b-c)(a-b-c)...#. --.
※
發信站:
批踢踢實業坊(ptt.cc
#59
[中學] 因式分解
推噓
1
(1推
0噓 3→
)
留言
4則,0人
參與
, 8年前
最新
作者
xj3zj17
(xj3zj17)
時間
8年前
發表
(2017/11/10 17:11)
,
編輯
資訊
0篇文章回應此文
0
內文有1個圖片
image
1
內文有0個連結
link
0
內容預覽:
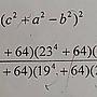
https://i.imgur.com/Xx3RIB1.jpg.
這樣的題目我試過好幾種方法. 都沒辦法找到規律或是消去. 想問版上大大們. 如何用因式分解的方式解出這題. --.
※
發信站:
批踢踢實業坊(ptt.cc),
來自:
115.82.115.68
.
※
文章網址:
https://w
首頁
上一頁
1
2
3
4
5
6
7
8
9
下一頁
尾頁