作者查詢 / imdynamite

總覽項目: 發文 | 留言 | 暱稱
作者 imdynamite 的總覽 (PTT發文,留言,暱稱)
發文數量: 7
收到的『推』: 6 (33.3%)
收到的『→』: 12 (66.7%)
收到的『噓』: 0 (0.0%)
留言數量: 193
送出的『推』: 86 (44.6%)
送出的『→』: 102 (52.8%)
送出的『噓』: 5 (2.6%)
使用過的暱稱: 2
imdynamite 在 PTT 最新的發文, 共 7 篇
[請問] 訂閱Windy Premium的人
[ ask ]8 留言, 推噓總分: +2
作者: imdynamite - 發表於 2024/01/19 14:19(2年前)
[XBOX] 徵 XBOX Series S (XSS) 512GB已回收
[ Gamesale ]0 留言, 推噓總分: 0
作者: imdynamite - 發表於 2023/09/22 18:57(2年前)
[NS] 徵 薩爾達 曠野之息已回收
[ Gamesale ]0 留言, 推噓總分: 0
作者: imdynamite - 發表於 2023/07/07 14:35(2年前)
[線代] 轉移矩陣一題
[ Math ]7 留言, 推噓總分: +3
作者: imdynamite - 發表於 2022/12/23 01:32(3年前)
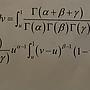
[微積] 積分一題
[ Math ]3 留言, 推噓總分: +1
作者: imdynamite - 發表於 2022/12/17 13:45(3年前)
imdynamite 在 PTT 最新的留言, 共 193 則
[公告] 第61屆金馬獎【猜猜】得獎名單
[ Golden-Award ]2 留言, 推噓總分: +2
作者: shengju1029 - 發表於 2024/12/12 10:55(1年前)
12Fimdynamite: 由島至島11/23 19:16
17Fimdynamite: 漂亮朋友11/23 19:17
[猜猜] 最佳新導演
[ Golden-Award ]33 留言, 推噓總分: +23
作者: shengju1029 - 發表於 2024/11/23 21:45(1年前)
30Fimdynamite: 葉星宇《三個羯子》11/23 21:54
[猜猜] 最佳男配角
[ Golden-Award ]50 留言, 推噓總分: +35
作者: shengju1029 - 發表於 2024/11/23 20:36(1年前)
20Fimdynamite: 曾國城 《小雁與吳愛麗》11/23 20:38
[猜猜] 最佳動作設計
[ Golden-Award ]28 留言, 推噓總分: +17
作者: shengju1029 - 發表於 2024/11/23 20:16(1年前)
26Fimdynamite: 鬼才之道11/23 20:21
[猜猜] 最佳原著劇本
[ Golden-Award ]34 留言, 推噓總分: +26
作者: shengju1029 - 發表於 2024/11/23 19:58(1年前)
25Fimdynamite: 鬼才之道11/23 20:02
imdynamite 在 PTT 的暱稱紀錄, 共 2 個
暱稱:napoleon
文章數量:5
暱稱:linnn
文章數量:2