[微積] ODE
想請問各位板上的高手
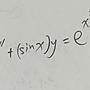
2.4.5.9要怎麼解題呢
我看了很久還是不知道怎麼開始算
https://i.imgur.com/iTWFofD.jpg

--
※ 發信站: 批踢踢實業坊(ptt.cc), 來自: 101.136.84.69 (臺灣)
※ 文章網址: https://www.ptt.cc/bbs/Math/M.1602605792.A.6FE.html
推
10/14 00:20,
5年前
, 1F
10/14 00:20, 1F
→
10/14 00:22,
5年前
, 2F
10/14 00:22, 2F
→
10/14 00:22,
5年前
, 3F
10/14 00:22, 3F
→
10/14 00:45,
5年前
, 4F
10/14 00:45, 4F
→
10/14 06:26,
5年前
, 5F
10/14 06:26, 5F
→
10/14 11:57,
5年前
, 6F
10/14 11:57, 6F
→
10/14 11:58,
5年前
, 7F
10/14 11:58, 7F
→
10/14 11:58,
5年前
, 8F
10/14 11:58, 8F
→
10/14 11:58,
5年前
, 9F
10/14 11:58, 9F
→
10/14 11:59,
5年前
, 10F
10/14 11:59, 10F
→
10/14 11:59,
5年前
, 11F
10/14 11:59, 11F
討論串 (同標題文章)