[線代] 基本線代概念請益
感謝看官~ 想請教一些基本線代概念,還請前輩們幫忙
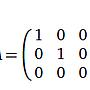
Q1-----------------------------
我這樣的敘述正確嗎?
XY 投影matrix
https://i.imgur.com/a9BTrWd.png

>>>>>
Ker Space 1維 (躺在Z軸的向量)
Image Space 2維 (XY軸)
Dim V = 1+2 = 3 (xyz)
若有vect1 (X1,Y1,Z1) 與vect2 (X1,Y1,Z2)
XY投影Matrix >> image一樣,皆為(X1, Y1 ,0)
-------------------------------
Q2-----------------------------
T: V --> V'
向量經由transfer的 image 一定是 1 to 1 ? 還是可以 多 to 1?
小弟我在維基看到這段話
https://en.wikipedia.org/wiki/Kernel_(linear_algebra)
>>https://i.imgur.com/dp4NGF6.png

if and only if(若且為若)
紅框處英文的意思是這樣嗎?? "只有ker Space 允許兩vect 同image??"
如果是...
那我Q1的vect1/vect2 不是ker space 但依然同image?
ker space以外的向量 不能多對一? , 不能同時對應image space內的同一點嗎?
(像是Q1 vect1 vect2對應image同一點)
Q3----------------------------
https://i.imgur.com/dp4NGF6.png

映射圖部分,只要非Ker space ,都是未來會頭影到image space 這樣二分法嗎?
投影到 Image Space ,可以允許多對一嗎??
抱歉@@ ...小弟我不清楚是英文搞錯還是概念錯
還請前輩們告之一二 感激
--
※ 發信站: 批踢踢實業坊(ptt.cc), 來自: 61.231.50.11
※ 文章網址: https://www.ptt.cc/bbs/Math/M.1557505138.A.A32.html
推
05/11 16:49,
6年前
, 1F
05/11 16:49, 1F
→
05/11 16:49,
6年前
, 2F
05/11 16:49, 2F
討論串 (同標題文章)