PTT
網頁版
登入/註冊
新聞
熱門文章
熱門看板
看板列表
作者查詢
最新文章
我的收藏
最近瀏覽
看板名稱查詢
批踢踢 PTT 搜尋引擎
作者查詢
/ jungogo
總覽
項目:
發文
|
留言
|
暱稱
作者 jungogo 在 PTT [ Math ] 看板的發文, 共1篇
限定看板:
Math
選擇看板(8) >>
看板排序:
發文數
發文時間
字母排序
全部
MacShop
4
Tainan
3
Chiayi
1
Gossiping
1
jingle
1
Math
1
mobilesales
1
Nethood
1
<< 收起看板(8)
首頁
上一頁
1
下一頁
尾頁
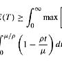
[微積] 一題瑕積分問題
[ Math ]
6
留言, 推噓總分:
+2
作者: jungogo - 發表於
2017/12/17 17:42
(8年前)
首頁
上一頁
1
下一頁
尾頁
關閉廣告 方便截圖