作者查詢 / gtyuse
作者 gtyuse 在 PTT [ Math ] 看板的留言(推文), 共3則
限定看板:Math
看板排序:
全部C_Chat276Gossiping238NSwitch154Steam111AnimalForest98PuzzleDragon36NTU22Boy-Girl21MH21DSLR20PC_Shopping18movie11GBF9GO_FATE9MAC9nCoV20197C_and_CPP6PCReDive6PlayStation5SENIORHIGH5Electronics4CVS3Hsinchu3Math3Spore2Tech_Job2CATCH1GameDesign1HatePolitics1hololive1KOTDFansClub1nb-shopping1NTUCivilism1PokeMon1sky1specialman1StupidClown1<< 收起看板(37)
首頁
上一頁
1
下一頁
尾頁
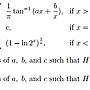
12F→: 原題目是將 0 點的值補上 1/2 讓他連續11/01 00:00
13F→: 然後再求常數讓他可微 順便附上題目好了11/01 00:01
20F→: 大概了解了 謝謝兩位指教囉~11/01 00:50
首頁
上一頁
1
下一頁
尾頁