
[花邊] 到底誰對?White稱此數學題答案是9 Wal

馬刺後衛Derrick White評論道:“肯定是9……對吧?”
隊友Lonnie Walker回覆道:“DerrickDerrickDerrick……是1啊!”
Derrick White:“看來我得教教你數學了?”
Lonnie Walker:“呃,如你所知,我只上了不到一年大學。”
Derrick White:“週一我會給你們來一堂簡短的數學課,我很確定Keldon Johnson也需
要,哈哈哈。”
https://voice.hupu.com/nba/2658486.html
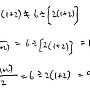
6/2(1+2) = 1 <-Walker
6/2*(1+2)= 9 <-White
--
※ 文章網址: https://www.ptt.cc/bbs/NBA/M.1605431346.A.5D3.html
推
11/15 17:10,
5年前
, 1F
11/15 17:10, 1F
推
11/15 17:10,
5年前
, 2F
11/15 17:10, 2F
推
11/15 17:10,
5年前
, 3F
11/15 17:10, 3F
推
11/15 17:10,
5年前
, 4F
11/15 17:10, 4F
推
11/15 17:10,
5年前
, 5F
11/15 17:10, 5F
推
11/15 17:10,
5年前
, 6F
11/15 17:10, 6F
推
11/15 17:12,
5年前
, 7F
11/15 17:12, 7F
推
11/15 17:13,
5年前
, 8F
11/15 17:13, 8F
推
11/15 17:13,
5年前
, 9F
11/15 17:13, 9F
推
11/15 17:14,
5年前
, 10F
11/15 17:14, 10F
推
11/15 17:15,
5年前
, 11F
11/15 17:15, 11F
推
11/15 17:15,
5年前
, 12F
11/15 17:15, 12F
→
11/15 17:16,
5年前
, 13F
11/15 17:16, 13F
推
11/15 17:16,
5年前
, 14F
11/15 17:16, 14F
推
11/15 17:17,
5年前
, 15F
11/15 17:17, 15F
→
11/15 17:17,
5年前
, 16F
11/15 17:17, 16F
推
11/15 17:17,
5年前
, 17F
11/15 17:17, 17F
推
11/15 17:18,
5年前
, 18F
11/15 17:18, 18F
推
11/15 17:19,
5年前
, 19F
11/15 17:19, 19F
推
11/15 17:23,
5年前
, 20F
11/15 17:23, 20F
推
11/15 17:23,
5年前
, 21F
11/15 17:23, 21F
推
11/15 17:24,
5年前
, 22F
11/15 17:24, 22F
推
11/15 17:24,
5年前
, 23F
11/15 17:24, 23F
噓
11/15 17:24,
5年前
, 24F
11/15 17:24, 24F
→
11/15 17:25,
5年前
, 25F
11/15 17:25, 25F
→
11/15 17:25,
5年前
, 26F
11/15 17:25, 26F
推
11/15 17:26,
5年前
, 27F
11/15 17:26, 27F
→
11/15 17:26,
5年前
, 28F
11/15 17:26, 28F
推
11/15 17:27,
5年前
, 29F
11/15 17:27, 29F
→
11/15 17:27,
5年前
, 30F
11/15 17:27, 30F
推
11/15 17:28,
5年前
, 31F
11/15 17:28, 31F
推
11/15 17:28,
5年前
, 32F
11/15 17:28, 32F
推
11/15 17:33,
5年前
, 33F
11/15 17:33, 33F
推
11/15 17:33,
5年前
, 34F
11/15 17:33, 34F
推
11/15 17:34,
5年前
, 35F
11/15 17:34, 35F
噓
11/15 17:34,
5年前
, 36F
11/15 17:34, 36F
推
11/15 17:35,
5年前
, 37F
11/15 17:35, 37F
→
11/15 17:35,
5年前
, 38F
11/15 17:35, 38F
推
11/15 17:36,
5年前
, 39F
11/15 17:36, 39F
還有 194 則推文
還有 1 段內文
→
11/16 01:37,
5年前
, 234F
11/16 01:37, 234F
噓
11/16 02:24,
5年前
, 235F
11/16 02:24, 235F
推
11/16 02:25,
5年前
, 236F
11/16 02:25, 236F
推
11/16 02:38,
5年前
, 237F
11/16 02:38, 237F
推
11/16 07:40,
5年前
, 238F
11/16 07:40, 238F
→
11/16 08:02,
5年前
, 239F
11/16 08:02, 239F
推
11/16 08:16,
5年前
, 240F
11/16 08:16, 240F
噓
11/16 08:27,
5年前
, 241F
11/16 08:27, 241F
推
11/16 08:35,
5年前
, 242F
11/16 08:35, 242F
噓
11/16 08:41,
5年前
, 243F
11/16 08:41, 243F
→
11/16 08:41,
5年前
, 244F
11/16 08:41, 244F
→
11/16 08:41,
5年前
, 245F
11/16 08:41, 245F
→
11/16 08:41,
5年前
, 246F
11/16 08:41, 246F
噓
11/16 08:43,
5年前
, 247F
11/16 08:43, 247F
→
11/16 08:43,
5年前
, 248F
11/16 08:43, 248F
→
11/16 09:20,
5年前
, 249F
11/16 09:20, 249F
推
11/16 09:50,
5年前
, 250F
11/16 09:50, 250F
推
11/16 11:16,
5年前
, 251F
11/16 11:16, 251F
→
11/16 11:16,
5年前
, 252F
11/16 11:16, 252F
→
11/16 11:16,
5年前
, 253F
11/16 11:16, 253F
→
11/16 11:18,
5年前
, 254F
11/16 11:18, 254F
推
11/16 11:43,
5年前
, 255F
11/16 11:43, 255F

→
11/16 12:00,
5年前
, 256F
11/16 12:00, 256F
噓
11/16 12:53,
5年前
, 257F
11/16 12:53, 257F
噓
11/16 14:04,
5年前
, 258F
11/16 14:04, 258F
推
11/16 14:43,
5年前
, 259F
11/16 14:43, 259F
→
11/16 14:44,
5年前
, 260F
11/16 14:44, 260F
→
11/16 15:26,
5年前
, 261F
11/16 15:26, 261F
噓
11/16 21:09,
5年前
, 262F
11/16 21:09, 262F
推
11/16 21:13,
5年前
, 263F
11/16 21:13, 263F
推
11/16 22:20,
5年前
, 264F
11/16 22:20, 264F
噓
11/17 04:44,
5年前
, 265F
11/17 04:44, 265F
推
11/17 04:46,
5年前
, 266F
11/17 04:46, 266F
推
11/17 11:10,
5年前
, 267F
11/17 11:10, 267F
推
11/17 12:19,
5年前
, 268F
11/17 12:19, 268F
推
11/17 12:25,
5年前
, 269F
11/17 12:25, 269F
推
11/17 15:35,
5年前
, 270F
11/17 15:35, 270F

→
11/17 15:35,
5年前
, 271F
11/17 15:35, 271F
→
11/17 15:36,
5年前
, 272F
11/17 15:36, 272F
→
11/17 15:36,
5年前
, 273F
11/17 15:36, 273F
討論串 (同標題文章)
完整討論串 (本文為第 1 之 2 篇):