
[理工] [機率]-期望值

我對於它的疑問是 E[Y]的計算
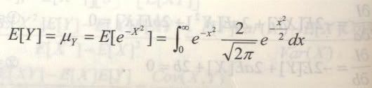
E[Y]的公式是 yf(y) 再去做積分(不曉得如何打積分符號@ @a)
但參考書上的解答
E[Y]是如此計算的
http://i215.photobucket.com/albums/cc91/serflygod/0058.jpg

看不太明白
麻煩高手指點一下QQ
--
※ 發信站: 批踢踢實業坊(ptt.cc)
◆ From: 125.224.136.54
推
07/08 15:36, , 1F
07/08 15:36, 1F
→
07/08 16:22, , 2F
07/08 16:22, 2F
→
07/08 23:06, , 3F
07/08 23:06, 3F
討論串 (同標題文章)