PTT
網頁版
登入/註冊
新聞
熱門文章
熱門看板
看板列表
作者查詢
最新文章
我的收藏
最近瀏覽
看板名稱查詢
批踢踢 PTT 搜尋引擎
作者查詢
/ xudjpxup
總覽
項目:
發文
|
留言
|
暱稱
作者 xudjpxup 在 PTT [ Office ] 看板的發文, 共1篇
限定看板:
Office
選擇看板(20) >>
看板排序:
發文數
發文時間
字母排序
全部
AskBoard
13
NCHU-PHYS101
11
Steam
7
NCHUS
3
ToS_Match
2
ask
1
Bank_Service
1
biker
1
Birthday
1
e-coupon
1
graduate
1
Master_D
1
MobileComm
1
Notebook
1
Office
1
PC_Shopping
1
Ptt25sign
1
SMSlife
1
Uni-NewBoard
1
WHSH17th-319
1
<< 收起看板(20)
首頁
上一頁
1
下一頁
尾頁
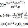
Fw: [請問] word 公式 分數
[ Office ]
0
留言, 推噓總分:
0
作者: xudjpxup - 發表於
2015/05/31 01:37
(10年前)
首頁
上一頁
1
下一頁
尾頁
關閉廣告 方便截圖