PTT網頁版
登入/註冊
新聞
熱門文章
熱門看板
看板列表
作者查詢
最新文章
我的收藏
最近瀏覽
看板名稱查詢
批踢踢 PTT 搜尋引擎

作者查詢 / gilt792

總覽項目: 發文 | 留言 | 暱稱
作者 gilt792 在 PTT [ Math ] 看板的發文, 共1篇
限定看板:Math
看板排序:
全部TaichungBun34forsale15MacShop15Mechanical13graduate8NCHUS7AnimalGoods6HardwareSale4Loan4BabyProducts2car2Gossiping2Printer_scan2BeautySalon1ChemEng1DC_SALE1FixMyHouse1Golf1Grad-ProbAsk1GraduateCram1Insurance1intltrade1LicenseShop1Master_D1Math1mobilesales1nb-shopping1NCCU1NCTU_TALK1Oracles1Plant1PttLifeLaw1Salesperson1Statistics1Test1textbook1<< 收起看板(36)
首頁
上一頁
1
下一頁
尾頁
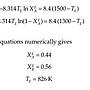
[微積] ln 聯立求解
[ Math ]3 留言, 推噓總分: 0
作者: gilt792 - 發表於 2020/03/27 15:00(6年前)
首頁
上一頁
1
下一頁
尾頁