PTT
網頁版
登入/註冊
新聞
熱門文章
熱門看板
看板列表
作者查詢
最新文章
我的收藏
最近瀏覽
看板名稱查詢
批踢踢 PTT 搜尋引擎
作者查詢
/ chen11907
總覽
項目:
發文
|
留言
|
暱稱
作者 chen11907 在 PTT [ Math ] 看板的發文, 共2篇
限定看板:
Math
選擇看板(9) >>
看板排序:
發文數
發文時間
字母排序
全部
Gossiping
31
MacShop
5
nb-shopping
3
Hearthstone
2
Math
2
mobilesales
2
PC_Shopping
2
HardwareSale
1
joke
1
<< 收起看板(9)
首頁
上一頁
1
下一頁
尾頁
[機統] McNemar統計量的條件分佈
[ Math ]
5
留言, 推噓總分:
0
作者: chen11907 - 發表於
2023/05/06 11:05
(3年前)
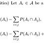
[機統] Bonferroni不等式 證明
[ Math ]
2
留言, 推噓總分:
+1
作者: chen11907 - 發表於
2020/03/11 23:19
(6年前)
首頁
上一頁
1
下一頁
尾頁
關閉廣告 方便截圖