PTT
網頁版
登入/註冊
新聞
熱門文章
熱門看板
看板列表
作者查詢
最新文章
我的收藏
最近瀏覽
看板名稱查詢
批踢踢 PTT 搜尋引擎
作者查詢
/ BGWalker
總覽
項目:
發文
|
留言
|
暱稱
作者 BGWalker 在 PTT [ Math ] 看板的發文, 共1篇
限定看板:
Math
選擇看板(22) >>
看板排序:
發文數
發文時間
字母排序
全部
MapleStory
29
PCReDive
28
C_Chat
20
ToS
13
HardwareSale
11
MobileComm
8
PC_Shopping
8
e-coupon
6
Hearthstone
3
AC_Sale
2
Gossiping
2
Key_Mou_Pad
2
Lifeismoney
2
SENIORHIGH
2
Android
1
ask
1
Audiophile
1
Headphone
1
Math
1
mobilesales
1
music
1
ToS_Match
1
<< 收起看板(22)
首頁
上一頁
1
下一頁
尾頁
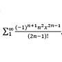
[級數] 級數相關問題
[ Math ]
1
留言, 推噓總分:
+1
作者: BGWalker - 發表於
2020/01/05 23:05
(6年前)
首頁
上一頁
1
下一頁
尾頁
關閉廣告 方便截圖