PTT
網頁版
登入/註冊
新聞
熱門文章
熱門看板
看板列表
作者查詢
最新文章
我的收藏
最近瀏覽
看板名稱查詢
批踢踢 PTT 搜尋引擎
作者查詢
/ AllenPaul
總覽
項目:
發文
|
留言
|
暱稱
作者 AllenPaul 在 PTT [ Grad-ProbAsk ] 看板的發文, 共6篇
限定看板:
Grad-ProbAsk
選擇看板(23) >>
看板排序:
發文數
發文時間
字母排序
全部
Wanted
600
Hate
417
Baseball
7
Grad-ProbAsk
6
Diary
5
graduate
5
Gossiping
3
Tobacco
3
gift
2
NBA
2
Sijhih
2
AndroidDev
1
basketball
1
basketballTW
1
Beauty
1
Boy-Girl
1
ChungLi
1
Guardians
1
MAC
1
NBA_Fantasy
1
NBAGAME
1
sex
1
TTU-I90B
1
<< 收起看板(23)
首頁
上一頁
1
下一頁
尾頁
Re: [理工] 104中央資工 計組
[ Grad-ProbAsk ]
25
留言, 推噓總分:
+1
作者: AllenPaul - 發表於
2017/01/23 19:50
(9年前)
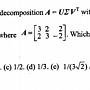
[理工] 中央 105 線代 SVD
[ Grad-ProbAsk ]
19
留言, 推噓總分:
+3
作者: AllenPaul - 發表於
2017/01/22 14:08
(9年前)
[理工] 中央 101 OS
[ Grad-ProbAsk ]
2
留言, 推噓總分:
+1
作者: AllenPaul - 發表於
2017/01/15 15:13
(9年前)
[理工] 清大 103 計系 第七題
[ Grad-ProbAsk ]
14
留言, 推噓總分:
+1
作者: AllenPaul - 發表於
2017/01/12 16:29
(9年前)
[理工] 清華 103 計系第三題
[ Grad-ProbAsk ]
24
留言, 推噓總分:
+5
作者: AllenPaul - 發表於
2017/01/11 21:07
(9年前)
Re: [理工] 101 102 成大 OS
[ Grad-ProbAsk ]
6
留言, 推噓總分:
+2
作者: AllenPaul - 發表於
2017/01/09 20:26
(9年前)
首頁
上一頁
1
下一頁
尾頁
關閉廣告 方便截圖