
Re: [微積] 一題均值定理相關問題

: 想請問利用均值定理得到c屬於(0,x)
: f'(c)=e^c又0<x<2
: 想請問為什麼證出來的是<=e^2而不是<e^2
<= e^2又沒表示一定存在 = e^2的x
: 感謝大家嗚嗚
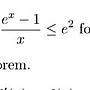
存在a,使得0 < a(x) < x < 2
e^x - e^0
--------- = exp(u)'| < e^2
x - 0 u=a<2
e^x - e^0
=> ----------- <= e^2
x - 0
--
※ 發信站: 批踢踢實業坊(ptt.cc), 來自: 111.243.53.179
※ 文章網址: https://www.ptt.cc/bbs/Math/M.1511970859.A.8EF.html
推
11/30 00:16,
8年前
, 1F
11/30 00:16, 1F
→
11/30 00:16,
8年前
, 2F
11/30 00:16, 2F
→
11/30 00:18,
8年前
, 3F
11/30 00:18, 3F
→
11/30 00:18,
8年前
, 4F
11/30 00:18, 4F
推
11/30 00:24,
8年前
, 5F
11/30 00:24, 5F
推
11/30 11:55,
8年前
, 6F
11/30 11:55, 6F
→
11/30 11:55,
8年前
, 7F
11/30 11:55, 7F
討論串 (同標題文章)
本文引述了以下文章的的內容:
完整討論串 (本文為第 2 之 2 篇):