Re: [理工] 資料結構 Big-O 計算
※ 引述《garyhsu1209 (良師)》之銘言:
: give a big-O estimate for the number of operations (where an operation is an
: addition or a multiplication) used in this segment of an algorithm. Try to
: give the tightest possible polynominal function.
: 1. t:=1
: 2. for i=n to n^2 do
: 3. for j=1 to n^300 do
: 4. t:= t+t+1000
: 5. t = t+100
: 6. end for
: 7. t:= t+t
: 8. t = t+7
: 9. end for
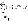
http://i.imgur.com/RET0Fp0.png

用Summation的作法不知道是不是長這樣@@
j迴圈下有2個指令,接著j迴圈用一個sigma,i迴圈再用一個
計算到最後取big-oh
如有錯誤懇請指正 謝謝!
--
※ 發信站: 批踢踢實業坊(ptt.cc), 來自: 122.22.71.225
※ 文章網址: https://www.ptt.cc/bbs/Grad-ProbAsk/M.1460966426.A.051.html
推
04/23 00:45, , 1F
04/23 00:45, 1F
→
05/23 01:31, , 2F
05/23 01:31, 2F
討論串 (同標題文章)
本文引述了以下文章的的內容:
完整討論串 (本文為第 2 之 2 篇):