[問題] 目前資料不符合迴歸的假設,想問適合的 …
我現在手上有一筆資料
因為想要看的就是X與Y之間的關係
所以一開始選用迴歸做為我的統計方法
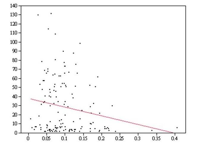
其XY的散布圖型式如下
http://i411.photobucket.com/albums/pp193/zoology001/statistics/data.jpg

(那條線是我暫時用迴歸做出來的線,可以先忽視他)
目前遇到的問題是
迴歸的其中一個前提假設就是要符合equal variance
而我的資料很明顯並不符合
想請問這樣子型式的資料適合用甚麼樣的統計方法來看其X與Y之間的關係呢?
感謝。
--
※ 發信站: 批踢踢實業坊(ptt.cc)
◆ From: 140.122.143.192
※ 編輯: zoology001 來自: 140.122.143.192 (04/21 18:21)
→
04/21 20:41, , 1F
04/21 20:41, 1F
→
04/21 20:42, , 2F
04/21 20:42, 2F
→
04/21 20:53, , 3F
04/21 20:53, 3F
→
04/21 22:47, , 4F
04/21 22:47, 4F
→
04/21 22:48, , 5F
04/21 22:48, 5F
→
04/21 22:49, , 6F
04/21 22:49, 6F
→
04/22 00:52, , 7F
04/22 00:52, 7F
→
04/22 02:32, , 8F
04/22 02:32, 8F
→
04/22 13:36, , 9F
04/22 13:36, 9F