PTT
網頁版
登入/註冊
新聞
熱門文章
熱門看板
看板列表
作者查詢
最新文章
我的收藏
最近瀏覽
看板名稱查詢
批踢踢 PTT 搜尋引擎
看板
[
PttEarnMoney
]
討論串
[發錢] 渡
共 872 篇文章
排序:
最新先
|
最舊先
|
留言數
|
推文總分
內容預覽:
開啟
|
關閉
|
只限未讀
首頁
上一頁
67
68
69
70
71
72
73
74
75
下一頁
尾頁
#522
Re: [發錢] 渡
推噓
4
(4推
0噓 5→
)
留言
9則,0人
參與
, 4年前
最新
作者
partDu
(渡)
時間
4年前
發表
(2021/02/21 17:48)
,
編輯
資訊
0篇文章回應此文
0
內文有0個圖片
image
0
內文有0個連結
link
0
內容預覽:
嗑完一包零食.... 有餡的. 猜猜是啥. --.
※
發信站:
批踢踢實業坊(ptt.cc),
來自:
1.172.56.248
(臺灣)
.
※
文章網址:
https://www.ptt.cc/bbs/PttEarnMoney/M.1613900928.A.1A5.html
.
#521
Re: [發錢] 渡
推噓
8
(8推
0噓 7→
)
留言
15則,0人
參與
, 4年前
最新
作者
partDu
(渡)
時間
4年前
發表
(2021/02/20 22:30)
,
編輯
資訊
0篇文章回應此文
0
內文有0個圖片
image
0
內文有0個連結
link
0
內容預覽:
不是 ka mi 或 ga mi 結尾的日文字. A. 狼. B. 鏡. C. 阪神. D. 手紙. --.
※
發信站:
批踢踢實業坊(ptt.cc),
來自:
1.172.56.248
(臺灣)
.
※
文章網址:
https://www.ptt.cc/bbs/PttEarnMoney/M.161
#520
Re: [發錢] 渡
推噓
8
(8推
0噓 3→
)
留言
11則,0人
參與
, 4年前
最新
作者
partDu
(渡)
時間
4年前
發表
(2021/02/20 21:26)
,
編輯
資訊
0篇文章回應此文
0
內文有0個圖片
image
0
內文有0個連結
link
0
內容預覽:
討拍(?. 前3F. --.
※
發信站:
批踢踢實業坊(ptt.cc),
來自:
1.172.56.248
(臺灣)
.
※
文章網址:
https://www.ptt.cc/bbs/PttEarnMoney/M.1613827612.A.8F4.html
.
#519
Re: [發錢] 渡
推噓
15
(15推
0噓 10→
)
留言
25則,0人
參與
, 4年前
最新
作者
partDu
(渡)
時間
4年前
發表
(2021/02/17 20:10)
, 4年前
編輯
資訊
0篇文章回應此文
0
內文有2個圖片
image
2
內文有0個連結
link
0
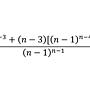
內容預覽:
繼續(?.
https://i.imgur.com/FjfKcVr.png.
(1) n = 4 ,機率為? (50p). (2) n = 40,機率為? (500p). (3) n = 3 ,機率為? (30p). 各發一包,一人限答一題. --.
※
發信站:
批踢踢實業坊(ptt.cc),
來
(還有85個字)
#518
Re: [發錢] 渡
推噓
4
(4推
0噓 11→
)
留言
15則,0人
參與
, 4年前
最新
作者
partDu
(渡)
時間
4年前
發表
(2021/02/16 21:48)
,
編輯
資訊
0篇文章回應此文
0
內文有0個圖片
image
0
內文有0個連結
link
0
內容預覽:
傳訊息發錯群組. 有類似可分享的經驗嗎. 隨意發. --.
※
發信站:
批踢踢實業坊(ptt.cc),
來自:
111.255.40.173
(臺灣)
.
※
文章網址:
https://www.ptt.cc/bbs/PttEarnMoney/M.1613483285.A.482.html
.
首頁
上一頁
67
68
69
70
71
72
73
74
75
下一頁
尾頁