PTT
網頁版
登入/註冊
新聞
熱門文章
熱門看板
看板列表
作者查詢
最新文章
我的收藏
最近瀏覽
看板名稱查詢
批踢踢 PTT 搜尋引擎
[理工] [機率]-poisson
+收藏
分享
看板
Grad-ProbAsk
作者
serflygod
(serflygod)
時間
15年前
發表
(2011/01/20 19:55)
,
編輯
推噓
1
(
1
推
0
噓
1
→
)
留言
2則, 2人
參與
,
最新
討論串
1/1
http://i215.photobucket.com/albums/cc91/serflygod/009-1.jpg
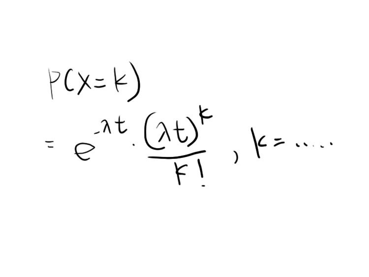
如題 我有疑問的是它的解答
http://i215.photobucket.com/albums/cc91/serflygod/010-1.jpg
我個人認為那條算式應該寫成
http://i215.photobucket.com/albums/cc91/serflygod/-1-23.jpg
懇請指點 --
※ 發信站: 批踢踢實業坊(ptt.cc)
◆ From: 220.141.39.5
推
haomei
01/20 21:29,
, 1
F
你的答案正確
01/20 21:29
, 1
F
→
serflygod
01/21 10:57,
, 2
F
感謝
01/21 10:57
, 2
F
‣
返回看板
[
Grad-ProbAsk
]
研究
‣
更多 serflygod 的文章
文章代碼(AID):
#1DE2AQAL
(Grad-ProbAsk)
更多分享選項
網址:
短網址:
文章代碼(AID):
分享至:
facebook
plurk
twitter
關閉廣告 方便截圖