[理工] [機率]-負二項分配
我看兩本書
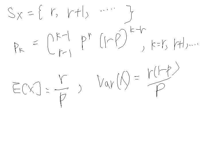
負二項式有兩種寫法
也因此推出兩種期望值寫法
http://i215.photobucket.com/albums/cc91/serflygod/1-4.jpg


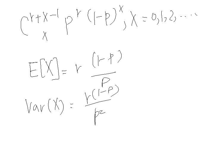
(這是出自補習班的書)
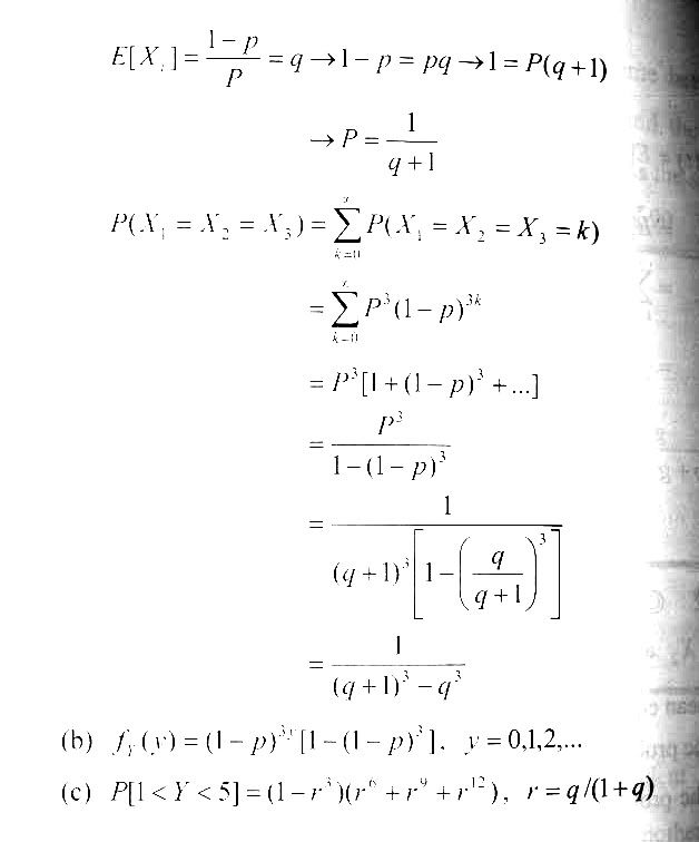
因此我遇到這一題
讓我很疑惑我該用哪一種方法去解
http://i215.photobucket.com/albums/cc91/serflygod/0036-1.jpg


這題是補習班的老師解的
所以當然是用第二種寫法去解
但如果用第一種格式去解
又是不同的故事了
我在想考試遇到該怎麼辦...?
--
※ 發信站: 批踢踢實業坊(ptt.cc)
◆ From: 125.224.128.84
→
10/29 18:10, , 1F
10/29 18:10, 1F
→
10/29 18:37, , 2F
10/29 18:37, 2F
推
10/29 18:38, , 3F
10/29 18:38, 3F
→
10/29 18:38, , 4F
10/29 18:38, 4F
→
10/29 18:38, , 5F
10/29 18:38, 5F
→
10/29 18:41, , 6F
10/29 18:41, 6F
→
10/29 18:42, , 7F
10/29 18:42, 7F
→
10/29 18:45, , 8F
10/29 18:45, 8F
推
10/29 19:28, , 9F
10/29 19:28, 9F
→
10/30 01:04, , 10F
10/30 01:04, 10F
→
11/01 14:51, , 11F
11/01 14:51, 11F
→
08/09 10:49, , 12F
08/09 10:49, 12F
→
09/11 14:01, , 13F
09/11 14:01, 13F
→
12/15 00:26,
7年前
, 14F
12/15 00:26, 14F