
[理工] [機率]-possion process

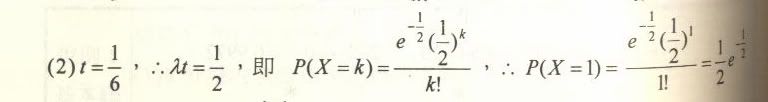
第二小題
我看兩本書寫得解答都不同
到底哪一個是正確的?
個人私心認為是第二個才是正確的
但還是不太確定
懇請指點
http://i215.photobucket.com/albums/cc91/serflygod/04057-1.jpg

--
※ 發信站: 批踢踢實業坊(ptt.cc)
◆ From: 125.224.140.177
推
09/09 14:46, , 1F
09/09 14:46, 1F
→
09/09 16:17, , 2F
09/09 16:17, 2F
→
09/09 16:35, , 3F
09/09 16:35, 3F
→
09/09 16:35, , 4F
09/09 16:35, 4F
推
09/09 18:01, , 5F
09/09 18:01, 5F